Polycarboxylic Antiscalant
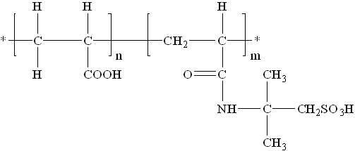
Acrylic Acid-2-Acrylamido-2-Methylpropane Sulfonic Acid Copolymer (AA/AMPS)
CAS No. 40623-75-4
【CAS】 40623-75-4
Structural Formula:

Properties:
AA/AMPS is the copolymer of acrylic acid and 2-acrylanmido-2-methylpropanesulfonic acid (AMPS). Due to including carboxylic group (scale inhibition and dispersion) and sulfonic acid group (strong polarity) in this copolymer, AA/AMPS has high calcium tolerance and good scale inhibition for calcium phosphate, calcium carbonate and zinc scale. When built with organophosphines, the synergic effect is obvious. AA/AMPS is suitable to be used in water quality of high pH and high alkaline, it is one of the ideal scale inhibitor and dispersant on high concentration index.
Specification:
|
items |
index |
|
Appearance |
Colorless or light yellow viscous liquid |
|
Solid content % |
40 min |
|
Free monomer (as AA) % |
0.8 max |
|
Density ( |
1.15 min |
|
pH (1% solution) |
3.5-4.5 |
|
Viscosity mpa.s |
90-300 |
Usage:
AA/AMPS can be used as scale inhibitor and dispersant in open circulating cool water system, oilfield refill water system, metallurgy system and iron & steel plants to prevent sediment of ferric oxide. When built with organophosphorines and zinc salt, the suitable pH value is 7.0~9.5.
AA/AMPS can also be used as dyeing auxiliaries for textiles.
Package and Storage:
Normally
Update: 2015/2/2 10:25:51 Views:2851
