Organic Phosphate Salts
Hepta sodium salt of Diethylene Triamine Penta (Methylene Phosphonic Acid)
CAS No. 22042-96-2 (x-Na) 68155-78-2 (7-Na)
DTPMP•Na7
CAS No. 22042-96-2 (x-Na) 68155-78-2 (7-Na)
Molecular Formula: C9H23O15N3P5Na7 Molecular weight: 727
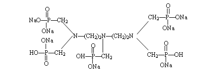
Structural Formula
Properties:
DTPMP•Na7 is a scale inhibitor, for barium sulphate in particular and a chelating agent.DTPMP•Na7 can be used as stabilizer for peroxide bleaching, detergent auxiliaries, in industrial & municipal cleaning water, terrestrial heat water, oilfield water, etc.
Specification:
|
items |
index | |
|
Appearance |
Umber transparent liquid | |
|
Active content (DTPMPA)% > |
31.5-33.5 |
24.0-26.0 |
|
Active content (DTPMPANa7)% |
40.0-42.5 |
30.5-33.0 |
|
Total phosphoric acid(PO43-)% |
25.9-27.9 |
19.7-21.7 |
|
Chloride ( as Cl-) % |
5.0 5.0 | |
|
Fe,mg/L |
20 20 | |
|
PH(1% water solution) |
7.0-9.0 7.0-9.0 | |
|
Density (20℃) g/cm3 |
1.34-1.44 |
1.24-1.34 |
Package and Storage:
200L plastic drum,IBC(1000L),customers’ requirement. Storage for ten months in shady room and dry place.
Safety Protection:
Avoid contact with eye and skin, once contacted, flush with water.
Update: 2015/2/2 10:27:46 Views:2849
Related products
- Potassium salt of 1-Hydroxy Ethylidene-1,1-Diphosphonic Acid (HEDP?Kx)
- Tetra sodium salt of Amino Trimethylene Phosphonic Acid (ATMP•Na4)
- Penta sodium salt of Amino Trimethylene Phosphonic Acid (ATMP•Na5)
- Potassium Salt of Hexa Methylene Diamine Tetra (MethylenePhosphonic Acid)
- Hepta sodium salt of Diethylene Triamine Penta (Methylene Phosphonic Acid)
- Diethylene Triamine Penta(Methylene Phosphonic Acid) Pentasodium salt(DTPMP•Na5)
